No momento, você está visualizando Teste de Hipótese no Excel – Atingir Meta

Teste de Hipótese no Excel – Atingir Meta

  • Autor do post:
  • Tempo de leitura:1 minuto de leitura
  • Categoria do post:Dados

Como referenciar este texto: Teste de Hipótese no Excel – Atingir Meta’. Rodrigo Terra. Publicado em: 23/01/2025. Link da postagem: https://www.makerzine.com.br/dados/teste-de-hipotese-no-excel-atingir-meta/.

Conteúdos que você verá nesta postagem

O teste de hipótese é um dos pilares da estatística inferencial e tem como objetivo avaliar uma suposição sobre um conjunto de dados. Ele é amplamente utilizado em diferentes áreas, como controle de qualidade, finanças, marketing e pesquisa científica, auxiliando na tomada de decisões baseadas em evidências. De maneira simplificada, um teste de hipótese verifica se uma afirmação sobre um parâmetro populacional pode ser sustentada ou rejeitada com base em uma amostra de dados.

No contexto da análise de dados, o Excel se destaca como uma ferramenta acessível e poderosa para a aplicação de testes de hipótese, mesmo para usuários sem conhecimento avançado em estatística. A interface intuitiva e os recursos embutidos permitem que os usuários realizem análises sem a necessidade de programar, como seria necessário em softwares mais especializados, como Python ou R.

Entre as ferramentas estatísticas disponíveis no Excel, algumas das mais relevantes incluem:

  • Análise de Dados (ativada pelo suplemento “Ferramentas de Análise”), que permite a aplicação de testes como t-testes, ANOVA e regressão linear.
  • Funções Estatísticas nativas, como MÉDIA(), DESVPAD(), TESTE.T(), entre outras.
  • Teste de Hipótese → Atingir Meta, uma funcionalidade prática para situações em que se deseja encontrar um valor específico de entrada que satisfaça um determinado resultado esperado, sem a necessidade de cálculos manuais.

Onde Encontrar a Ferramenta "Atingir Meta" no Excel

O Excel oferece diversas ferramentas para análise de dados e modelagem de cenários, e uma das mais úteis para ajustes simples de variáveis é a função “Atingir Meta”. Esse recurso permite que o usuário determine um valor desejado para uma célula e descubra qual valor de entrada é necessário para alcançá-lo, sem a necessidade de cálculos manuais ou iterações repetitivas.

Como acessar “Atingir Meta” no Excel

Para utilizar essa funcionalidade, siga o caminho:

  1. Abra o Excel e insira os dados relevantes na planilha.
  2. No menu superior, vá até “Dados”.
  3. No grupo “Teste de Hipótese”, selecione “Atingir Meta”.
  4. Uma janela será exibida, solicitando três informações:
    • Definir célula: a célula que contém a fórmula cujo valor deseja ajustar.
    • Valor para atingir: o valor que deseja que essa célula alcance.
    • Alterando célula: a célula que o Excel ajustará para atingir o valor desejado.
  5. Clique em OK e o Excel calculará automaticamente o valor necessário para a célula de entrada.

Essa ferramenta é bastante intuitiva e útil para situações em que há apenas uma variável a ser ajustada para atingir um determinado resultado.

Diferença entre "Atingir Meta", "Solver" e outras abordagens

Embora “Atingir Meta” seja uma solução eficaz para problemas simples envolvendo uma única variável dependente, ela apresenta limitações quando há múltiplas restrições ou variáveis interdependentes. Para cenários mais complexos, o Excel disponibiliza o Solver, que permite definir várias restrições e otimizar valores com base em funções matemáticas mais elaboradas.

A seguir, algumas diferenças principais:


FerramentaMelhor aplicaçãoLimitações
Atingir metaEncontrar um valor de entrada para atingir um resultado específico em uma célula de saída.Funciona apenas com uma variável de entrada.
SolverOtimização de múltiplas variáveis com restrições matemáticas.Pode ser mais complexo para usuários iniciantes.
Tabelas de dados (análise de sensibilidade)Avaliar como diferentes valores de entrada afetam um resultado.Não permite ajustes diretos para atingir um valor específico.

Se o objetivo for simplesmente encontrar um único valor de entrada para atingir um resultado desejado, “Atingir Meta” é a ferramenta ideal. No entanto, para problemas mais avançados que envolvem restrições e múltiplas variáveis, o Solver será a melhor alternativa.

Como Funciona a Ferramenta "Atingir Meta"

A ferramenta “Atingir Meta” no Excel é um recurso de teste de hipótese numérico que permite encontrar um valor de entrada que satisfaça um determinado resultado esperado em uma célula de saída. Essa funcionalidade é útil quando há uma relação matemática entre duas variáveis e se deseja descobrir qual valor de entrada precisa ser ajustado para atingir um objetivo específico.

 

Princípio de Funcionamento

O conceito por trás da ferramenta é simples:

  1. O usuário possui uma fórmula em uma célula (célula de saída) que depende de uma outra célula de entrada.
  2. Em vez de testar manualmente diferentes valores para atingir um resultado desejado, o Excel ajusta automaticamente a célula de entrada para encontrar a resposta correta.
  3. O cálculo é feito por tentativa e erro, mas de maneira automatizada, até que o valor da célula de saída atinja a meta especificada.

 

Exemplo Conceitual

Imagine que uma empresa deseja calcular quantos produtos precisa vender para atingir uma receita específica. A fórmula para a receita pode ser:

Receita Total = Quant Vendida x Preço unitário

Se o objetivo for alcançar R$ 50.000,00 em receita e o preço por unidade for R$ 250,00, a ferramenta “Atingir Meta” pode ser usada para determinar automaticamente a quantidade necessária de produtos a serem vendidos.

O Excel ajustará o valor na célula de quantidade vendida até que a célula de receita total exiba R$ 50.000,00, eliminando a necessidade de cálculos manuais.

Esse processo é extremamente útil para diversas aplicações, desde cálculos financeiros e projeções de vendas até análises estatísticas e planejamento de custos.

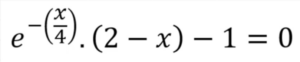
Exemplo Prático: Atingindo uma Meta

Para entender melhor como utilizar a ferramenta “Atingir Meta” no Excel, aplicaremos um exemplo prático baseado na seguinte equação matemática:

Nosso objetivo é determinar o valor de x (armazenado na célula D4) que satisfaça essa equação, ou seja, que faça com que o lado esquerdo da equação seja igual a zero. O Excel nos ajudará a encontrar esse valor de forma automatizada usando “Atingir Meta”.

Passo a Passo no Excel

Definição da Célula de Resultado

  • Insira a seguinte fórmula na célula D5, que representa o lado esquerdo da equação:
				
					=EXP(-D4/4)*(2-D4)-1
				
			
  • Essa célula será a célula de saída, cujo valor queremos ajustar para que seja igual a 0.

 

Escolha da Célula Variável

  • A célula D4 será a célula de entrada. O Excel ajustará esse valor para encontrar a solução da equação.
  • Insira qualquer valor inicial em D4, por exemplo, 1.5.

 

Definição da Meta Desejada

Agora, vamos configurar a ferramenta “Atingir Meta” para calcular automaticamente o valor correto de D4:

  1. Vá até a aba “Dados” no Excel.
  2. No grupo “Teste de Hipótese”, clique em “Atingir Meta”.
  3. No campo “Definir célula”, selecione D5 (onde está a equação).
  4. No campo “Para valor”, insira 0 (a meta desejada).
  5. No campo “Alterando célula”, selecione D4 (a célula de entrada que será ajustada).
  6. Clique em OK.

Veja como fazer

Se você acha que este conteúdo pode ser útil para alguém, compartilhe!

Ao divulgar os textos do MakerZine, você contribui para que todo o material continue acessível e gratuito para todas as pessoas.

Rodrigo Terra

Com formação inicial em Física, especialização em Ciências Educacionais com ênfase em Tecnologia Educacional e Docência, e graduação em Ciências de Dados, construí uma trajetória sólida que une educação, tecnologias ee inovação. Desde 2001, dedico-me ao campo educacional, e desde 2019, atuo também na área de ciência de dados, buscando sempre encontrar soluções focadas no desenvolvimento humano. Minha experiência combina um profundo conhecimento em educação com habilidades técnicas em dados e programação, permitindo-me criar soluções estratégicas e práticas. Com ampla vivência em análise de dados, definição de métricas e desenvolvimento de indicadores, acredito que a formação transdisciplinar é essencial para preparar indivíduos conscientes e capacitados para os desafios do mundo contemporâneo. Apaixonado por café e boas conversas, sou movido pela curiosidade e pela busca constante de novas ideias e perspectivas. Minha missão é contribuir para uma educação que inspire pensamento crítico, estimule a criatividade e promova a colaboração.

Deixe um comentário